Andre bilag
Bilag 1 (Indretning og drift af dambrug på emissonsbaseret regulering, jf. kapitel 3)
Bilag 2 (Beregning af maksimal årlig og daglig udledning fra dambrug på emissionsbaseret regulering, jf. kapitel 3)
Bilag 3 (Indretnings- og driftskrav for dambrug baseret på foderkvote, jf. kapitel 4)
Bilag 4 (Krav til prøvetagning og analyse, jf. kapitel 3 og 4)
Bilag 5 (Krav til anvendelse og sammensætning af foder, jf. kapitel 3 og 4)
Bilag 6 (Driftsjournalens indhold, jf. kapitel 3 og 4)
Bilag 7 (BAT standardkrav og iltmætning i afløbsvand, jf. kapitel 3 og 4)
Bilag 8 (Medicin- og hjælpestofregulering, jf. kapitel 3 og 4)
I en miljøgodkendelse af et dambrug der, jf. § 10, ansøger om at overgå fra foderkvoteregulering til emissionsbaseret regulering, fastsættes vilkår, jf. §§ 12, 13, 14, og 19 i henhold til bilag 2, ved at omregne foderkvoten til en maksimal årlig og daglig udledning af organisk stof, målt som modificeret BI5, total fosfor, total kvælstof og ammonium-kvælstof.
1. Fastsættelse af maksimal årlig udledning
Dambrugets nettoudledning (Umax), dvs. den maksimalt tilladte udledning af et givent stof (BI5, ammonium-kvælstof, total N, total P) minus stofindhold i vandindtag, beregnes efter formlerne angivet i tabel 1.
Såfremt der foreligger et miljøgodkendt foderforbrug med vilkår om en foderkvote og renseforanstaltninger skal disse forhold lægges til grund for omregningen fra Ftill til maksimale udlederkrav, således at udvidelser der allerede er godskrevet på baggrund af renseforanstaltninger ikke godskrives igen i forbindelse med overgangen til udlederkontrol.
Tabel 1: Beregning af den maksimale årlige udledning af total N, total P, ammonium-kvælstof og organisk stof målt som BI5.
|
Total kvælstof
|
Umax total N = Ftill * PTN * (100 % - RN(TN)) * 1,86
|
||
|
Ammonium-kvælstof
|
Umax NH4-N = Ftill * PNH4-N * (100 % - RN(NH4-N)) * 1,86
|
||
|
Total fosfor
|
Umax total P = Ftill * PTP * (100 % - RN(P)) * 1,86
|
||
|
BI5
|
Umax BI5 = Ftill * PBI5 * (100 % - RN(BI5)) * 1,86
|
||
Ved Ftill forstås den foderkvote, der blev meddelt det enkelte dambrug i en fodertilladelse i henhold til bekendtgørelse nr. 224 af 5. april 1989 om ferskvandsdambrug, jf. § 3, nr. 3.
RN = Dambrugets samlede rensegrad (%) af et givent stof som angivet i tabel 3.
P =Produktionsbidrag af ammonium-kvælstof (NH4-N), total N (TN), total P (TP) og organisk stof BI5, regnes som Ftill gange produktionsbidrag pr. tons foder, jf. tabel 2.
Tabel 2: Der anvendes for alle produktionsstørrelser nedenstående standardproduktionsbidrag pr. tons foder:
|
Ammonium kvælstof:
|
39 kg pr. tons foder
|
|
Total kvælstof:
|
56 kg pr. tons foder
|
|
Total fosfor:
|
4,9 kg pr. tons foder
|
|
BI5:
|
97 kg pr. tons foder
|
|
Produktionsstørrelse (Ftill)
|
≤ 25 tons
|
>25 til ≤230 tons
|
>230 tons
|
|
RN ammonium-kvælstof
|
47 %
|
55 %
|
65 %
|
|
RN total N
|
50 %
|
50 %
|
50 %
|
|
RN total P
|
60 %
|
65 %
|
70 %
|
|
RN BI5
|
60 %
|
75 %
|
85 %
|
2. Kontrol af maksimal årlig udledning
Ved kontrol af overholdelse af de maksimale årlige udledninger, kontrolleres med tilstandskontrol for ammonium-kvælstof og BI5 og transportkontrol for total kvælstof og total fosfor, jf. Svendsen og Larsen (2016): Ny kontrolmetode for udledninger fra ferskvandsdambrug, DCE rapport nr. 212.
Tilstandskontrol:
Som grundlag for gennemførsel af tilstandskontrol deles den årlige tilladte maksimale udledning af henholdsvis ammonium-kvælstof og BI5 med 365 og med gennemsnittet af vandafledningen for prøvetagningsdøgnet for at fastlægge de udledergrænseværdier Uk, der skal overholdes.
Tilstandskontrollen udføres herefter ved:
dk + kk(n) · sk ≤ Uk
hvor
dk = gennemsnit af n målte nettodøgnkoncentrationer i udledningen (forskellen i koncentration i udløb og indløb i prøvetagningsdøgnet) (i mg/l)
sk = spredningen på n nettokoncentrationer i udledningerne (i mg/l)
Uk = udledergrænseværdi (mg/l)
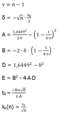
kk(n) = justeringsfaktoren ved tilstandskontrol for n prøver. kk(26) = 0,5035, kk(12) = 0,3586
Transportkontrol:
Som grundlag for gennemførsel af transportkontrol deles den årlige tilladte maksimale udledning af henholdsvis total kvælstof og total fosfor med 365 for at fastlægge de daglige udledergrænseværdier UT, der skal overholdes.
Transportkontrollen udføres ved:
dT + kT(n) · sT ≤ UT
hvor
dT = gennemsnit af n målte nettodøgnudledninger (forskellen i transport i udløb og transport i indløb baseret på målte koncentrationer i vandafledning og vandindtag og tilsvarende målte vandmængder i prøvetagningsdøgnet) (i kg/døgn)
sT = spredningen på de n nettodøgnudledninger (i kg/døgn)
UT = udledergrænseværdi (kg pr. døgn)
kT(n) = justeringsfaktoren ved transportkontrol for n prøver. Den afhænger af n, dT samt af sT. kT(n) beregnes efter følgende metode, som består af nogle beregningstrin:
3. Fastlæggelse af maksimal daglig udledning
Til fastlæggelse af fordeling af årsproduktionen fastlægges:
– en maksimal daglig udledning for total kvælstof og total fosfor (angivet i kg pr. døgn).
Den maksimale daglige udledning Ud for henholdsvis total kvælstof og total fosfor må ikke overskride 1 % af dambrugets samlede årlige maksimale nettoudledning Umax, dvs. Ud ≤ 0,01 * U (U for hhv. total kvælstof og total fosfor), hvor Ud, beregnet som et løbende gennemsnit over 7 dage, ikke må overskrides.
4. Fastsættelse af maksimal ammonium kvælstof og organisk stof koncentration
Maksimale koncentrationer i udledningerne af ammonium-kvælstof og organisk stof fastlægges for at forebygge koncentrationsniveauer nedstrøms dambruget, der er skadelige for faunaen.
Den maksimale koncentration Cmax af henholdsvis ammonium-kvælstof og organisk stof, der aldrig må overskrides i udledningen, fastlægges ved:
– I perioden april–september må koncentrationen i udledningerne ikke på noget tidspunkt være højere end:
Cmax = 4 * Kudl * Qmm/Qva
– I perioden oktober-marts må koncentrationen i udledningerne ikke på noget tidspunkt være højere end:
Cmax =6 * Kudl * Qmm/Qva
Hvor
Cmax = maksimale koncentration af hhv. ammonium-kvælstof og organisk stof (BI5) (i mg/l)
Kudl = udledergrænseværdier for hhv. ammonium-kvælstof (0,4 mg/l) og BI5 (1,0 mg/l)
Qmm = vandløbets medianminimum umiddelbart nedstrøms dambruget (i l/s)
Qva = aktuelle vandafledning fra dambruget (i l/s)
5. Beregning af udledningsværdier i forbindelse med produktion af fisk, der skal anvendes i havbrugsproduktion (skæv produktion)
Kriterier for anvendelse:
Inden for et år, finder mere end 45% af produktionen sted inden for 3 måneder og mindre end 10% af produktionen finder sted inden for andre 3 måneder.
Fremgangsmåde:
Ved kontrol af overholdelse af de maksimale årlige udledninger, kontrolleres med tilstandskontrol for ammonium-kvælstof og BI5 og med transportkontrol for total kvælstof og total fosfor, hvor koncentrationer og udledningerne logaritmetransformeres (med den naturlig logaritme) før udlederkontrol udføres jf. Svendsen og Larsen (2016): Ny kontrolmetode for udledninger fra ferskvandsdambrug, DCE rapport nr. 212.
Tilstandskontrol
Som grundlag for gennemførsel af tilstandskontrol deles den årlige tilladte maksimale udledning af henholdsvis ammonium-kvælstof og BI5 med 365 og med gennemsnittet af vandafledningen for prøvetagningsdøgnet for at fastlægge de udledergrænseværdier Uk, der skal overholdes.
Tilstandskontrollen udføres herefter ved:
Uk er kravværdien angivet som en koncentration (i mg/l).
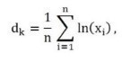
dk = gennemsnit af logaritme transformerede n målte daglige nettokoncentrationer xi i udledningen (forskel i koncentrationen i udløb og koncentrationen i indløb i prøvetagningsdøgnet i) (i mg/l):
Hvis en eller flere af xi værdierne er negative adderes det mindste hele positive tal så alle xi værdierne bliver positive (der kan ikke tages naturlig logaritme af negative tal). Det positive tal, der er adderet til alle xi værdierne, fratrækkes efterfølgende på venstre side af uligheden efter at udtrykket med eksponentialfunktionen er beregnet.
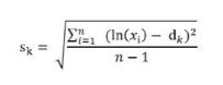
sk= spredningen på de n logaritme transformerede nettokoncentrationer (i mg/l):
kk(n)= justeringsfaktoren ved tilstandskontrol for n prøver. Den afhænger af n, og af sk (se nedenfor for beregning). kk(n) beregnes efter følgende metode, som består af nogle beregningstrin:
Transportkontrol
Som grundlag for gennemførsel af transportkontrol deles den årlige tilladte maksimale udledning af henholdsvis total kvælstof og total fosfor med 365 for at fastlægge de daglige udledergrænseværdier UT, der skal overholdes.
Transportkontrollen udføres ved:
UT er udledergrænseværdien (kg pr. døgn).
dT = gennemsnit af logaritme transformerede n målte nettoudledninger yi (forskel i transport i udløb og transport i indløb baseret på målte koncentrationer i vandindtag og vandafledning og tilsvarende målte vandmængder i prøvetagningsdøgnet i) (i kg/døgn):
Hvis en eller flere af yi værdierne er negative adderes det mindste hele positive tal så alle yi værdierne bliver positive (der kan ikke tages naturlig logaritme af negative tal). Det positive tal, der er adderet til alle yi værdierne, fratrækkes efterfølgende på venstre side af uligheden efter at udtrykket med eksponentialfunktionen er beregnet.
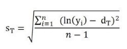
sT = spredningen på de n logaritme transformerede nettodøgnudledninger (i kg/døgn):
kT(n) = justeringsfaktoren ved transportkontrol for n prøver. Den afhænger af n, og af sT (se nedenfor for beregning). kT(n) beregnes efter følgende metode, som består af nogle beregningstrin: